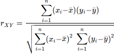
La corrélation (rxy) de Bravais-Pearson (ou Pearson) correspond à la covariance divisée par le produit des écarts-types. La covariance (covxy) est la moyenne des produits des écarts à la moyenne sur chaque mesure. Soit deux mesures (échelles d'intervalles), X et Y, recueillies auprès d'un échantillon de n personnes (on a donc n paires d'observations) :

|
et
Attention : Pour un estimateur non biaisé, utiliser 1/(n-1) comme diviseur Avec : - xi et yi les valeurs observées pour l'individu i sur les variables X et Y - x̄ et ȳ : les moyennes des notes observées pour la variable X et Y |
Remarques :
▪lorsque la variance d'un test est nulle (donc l'écart-type = 0) la corrélation avec une autre mesure est indéterminée.
▪La covariance de x avec x (covxx) est égale à la variance de x.