A-B
ADAPTATIF (test) : cf. TEST ADAPTATIF
AFFINE : cf. fonction affine
APPLATISSEMENNT (Coefficient) : cf. KURTOSIS.
APTITUDE : cf. TESTS D'APTITUDE.
ASYMPTOTE : (origine grec qui associe le privatif "a" et "symptôsis" qui signifie rencontre). En mathématique, ligne droite qui s'approche indéfiniment d'une courbe à une distance de plus en plus petite sans jamais la couper.
ASYMETRIE (coefficient) : le coefficient d'asymétrie (skewness) est un des paramètres de forme de la distribution concernant l'écart par rapport à la symétrie. Un coefficient d'asymétrie négatif correspond à une distribution plus étirée à gauche et inversement pour les coefficients positifs.
BARYCENTRE : pour un ensemble fini de points d'un espace à n dimensions (n>=1), le barycentre est le point obtenu comme la moyenne arithmétique des positions de chacun de ces points sur ces dimensions auxquels on peut éventuellement affecter des coefficients de pondération. Par exemple, dans un plan, pour 2 variables (x en abscisse et y en ordonnée), l'abscisse du barycentre sera la moyenne pondérée des abscisses et l’ordonnée la moyenne pondérée des ordonnées. Lorsque ces coefficients de pondération sont égaux, le barycentre est appelé isobarycentre.
BIAIS DE REPONSE : on parle de biais de réponse lorsque la réponse à un item à tendance à être déterminée par des éléments externes à ce que l'item est censé mesurer. (cf. aussi BIAS des TESTS)
BIAIS des TESTS : Selon les standards de la construction des tests, le terme biais fait référence à une erreur de mesure non aléatoire introduite lors de la construction d'un test et entraînant des scores systématiquement inférieurs ou supérieurs pour des groupes de personnes. Attention, ce n'est pas parce qu'il existe des différences en fonction des catégories socioprofessionnelles qu'un test d'intelligence est biaisé. Il est biaisé si les différences observées ne sont pas de l'ordre de celles attendues (en supposant que l'on connaisse a priori l'ordre de grandeur éventuelle de ces différences).
BOX-COX (transformation ou transformée de Box-Cox) : méthode de transformation des scores permettant de normaliser une distribution. Cette méthode non linéaire est très utilisée en statistiques. Son nom fait référence à deux auteurs qui ont proposé cette transformation en 1964 : George Box et David Roxbee Cox.
C
CHI-CARRE - TEST : Statistique permettant de déterminer si la différence entre deux distributions de fréquences est attribuable à l’erreur d’échantillonnage (le hasard) ou est suffisamment grande pour être significative. Cette statistique suit la loi du CHI-CARRE.
CHI-CARRE -LOI : la loi du Chi carré est une loi utilisé en statistique inférentielle. Sa distribution est asymétrique (asymétrie gauche) et dépend d'un seul paramètre k. C'est la somme des carrés de k lois normales centrées réduites indépendantes (k étant le degré de liberté de cette loi). Elle est souvent utilisée pour les tests statistiques basés sur la somme des carrés des écarts (exemple le test du Chi-carré).
COEFFICIENT DE FIDELITE : Noté rxx, ce coefficient correspond au carré de l'index de fidélité. Il varie entre 0 et 1 et renseigne sur la proportion de variance vraie. Plus il est proche de 1, plus l'erreur de mesure est faible (cf. chapitre E $6.3).
COHERENCE INTERNE : cf. CONSISTANCE INTERNE.
COMPOSITE (SCORE) : cf. SCORE COMPOSITE.
COMMUNAUTé : En analyse factorielle, la communauté (h2), indique pour chaque variable la quantité de variance de la variable expliquée par les composantes (en analyse en composantes principales) ou facteurs (en analyse factorielle exploratoire) retenues (en général les n premiers facteurs ou les n premières composantes). La valeur de la communauté d'une variable correspond à la somme des carrés des saturations entre la variable et les facteurs (ou composantes).
CONGENERIQUE : cf. MODELE DE MESURE CONGENERIQUE.
CONSISTANCE INTERNE : on parle de consistance interne lorsque chacun des items mesure un même construit.
CONSTRUIT : désigne un objet mental (dérivé d'une démarche scientifique) destiné à représenter quelque chose qui n’est pas concret, n’a pas en soi de grandeur et n’a de réalité que celle créée par l’opération de mesure (par exemple l'intelligence, l'extraversion, le neurotiscisme sont des construits). Un construit est, pour résumé, une entité non observable dont l'existence est inférée à partir d'observations. Un des objectifs de la psychométrie est de mesurer des construits. Ces construits sont des variables latentes (sources des différences interindividuelles observées dans des tâches) et correspondent à des dimensions théoriques hypothétiques.
COTE Z : cf. SCORE Z.
COURBE ROC (Receiver Operating Characteristic) : courbe traduisant l'efficacité d'un seuil de classification binaire (présence/absence). Ces courbes furent inventées pendant la seconde guerre mondiale pour montrer la séparation entre des signaux radars et le bruit de fond (indicateur de la relation entre la probabilité d'une détection et la probabilité d'une fausse alerte). Ces courbes utilisées en psychologie (méthode des tests) ou dans le domaine médical permettent la détermination de la valeur seuil optimale mais aussi la comparaison de plusieurs tests. On utilise le terme anglais courbe ROC qui pourrait être traduit par courbe Caractéristique du Fonctionnement ou d'Efficacité d'un Récepteur.
COVARIANCE : La covariance entre deux variables peut être considérée comme une extension de la notion de variance puisque la covariance est la moyenne des carrés des distances à l'isobarycentre du nuage de points (nuage défini par les scores observés sur chacune des variables). La valeur de la covariance dépend donc de la relation qui existe entre les variables mais aussi de la variance sur chaque variable (et donc de l’échelle de mesure).
D
DETERMINANT D'UNE MATRICE : la définition est souvent calculatoire (comment calcule-t-on le déterminant d'une matrice). Simple pour les matrices carrées de 2 par 2, le calcul du déterminant d'une matrice est complexe et ne sera pas présenté ici. Le calcul du déterminant permet de savoir si une matrice est inversible (c’est-à-dire si on peut calculer une matrice B qui multipliée par la première donne la matrice d'identité I : AB = BA = I). Le déterminant est une valeur numérique qui peut prendre n'importe quelle valeur entre 0 et 1. Un déterminant de 0 indique que la matrice est singulière (non inversible). D'un point de vue géométrique, si les lignes de la matrice sont des vecteurs, le déterminant correspond au volume du parallélépipède engendré par ces vecteurs.
DECILE : quantile d'ordre 10 soit 9 valeurs qui partagent l'étendue des scores brutes ordonnés en n sous-ensembles d'effectifs contenant chacun 10% des scores observé.
DIAGRAMME DE VENN : Façon de représenter des relations simples (introduit par J. Venn en 1880). Par exemple, concernant les relations entre deux distributions de notes, on utilise le diagramme de Venn en représentant les variances partagées et non partagées par un ensemble de cercles (ou ovales) qui se chevauchent.
DIAGONALE PRINCIPALE D'UNE MATRICE : La diagonale principale d'une matrice est l'ensemble des éléments situés de l’angle en haut à gauche jusqu’à l’angle en bas à droite, c’est-à-dire les éléments où la ligne et la colonne ont le même indice (aii). Rappel : dans une matrice carré (n lignes et n colonnes), les colonnes de la matrices comme les lignes sont numérotées de 1 à n.
DIFFICULTE (paramètre de difficulté ou indice de difficulté) : dans la TCT , ce paramètre noté p (pour puissance) est le pourcentage de réussite de l'item. Dans les modèles de réponse à l'item, par convention, ce paramètre pour un item correspond au niveau d'aptitude (theta) qui est réussi à 50% (cf. chap. E $5.3)
DIMENSION : une dimension en psychologie représente la variation d’un trait ou processus psychologique en intensité.
DIMENSION THEORIQUE : on parle de dimension théorique lorsque l'on fait référence une "construction conceptuelle" pour rendre comte de différences interindividuelles particulières (intelligence, extraversion/introversion, anxiété, etc.). Elle n’est pas directement mesurée, mais inférée à partir d’un cadre théorique. Ce terme est à distinguer de variable latente qui est un concept statistique même s'ils sont proches. La dimension théorique est un concept abstrait non observable et inféré. La variable latente est une représentation statistique que l'on interprète et que l'on peut associer à une dimension théorique.
DIMENSION OPERATIONNELLE : Une dimension opérationnelle est une différentiation d'individus qui résulte d'une opération de mesure. Cette dimension opérationnelle est supposée être la manifestation d'une dimension théorique (exemples : le QI mesuré au WISC-IV, le score à l'échelle de féminité du test CPI, etc). Les dimensions opérationnelles sont censées refléter les dimensions théoriques, mais la relation n'est jamais simple et dépend de la validité des outils de mesure utilisés mais aussi de la validité des hypothèses théoriques.
DIMENSIONNALITE : nombre de traits latent sous tendant la réponse à un item (cf. aussi unidimensionnalité.
DISTRIBUTION CENTREE : On dit qu'une distribution est centrée si son espérance (sa moyenne) est nulle. Pour centrer une distribution il suffit de retirer à chaque valeur de la distribution la moyenne de la distribution (moyenne calculée avant de la centrer).
DISTRIBUTION NORMALE : Le terme de distribution Normale été utilisé pour la première fois par Galton en 1889. Il s'agit d'une distribution associée à la loi normale qui présente les caractéristiques suivantes : (i) la distribution est symétrique (ii) la moyenne, le mode et la médiane sont identiques (iii) sa fonction de répartition est connue et 68% des observations sont à plus ou moins un écart-type de la moyenne. Elle sert de base pour déterminer l'asymétrie et l'aplatissement (kurtosis) d'une distribution.
DISTRIBUTION NORMALE CENTREE REDUITE : Distribution normale dont la moyenne est 0 et l'écart-type 1.
DISTRIBUTION REDUITE : On dit qu'une distribution est réduite si son écart-type est égal à 1. Pour réduire une distribution, il suffit de divisée toutes les valeurs par l'écart-type de la distribution avant réduction.
E
ECART-TYPE : L'écart-type est une mesure de la dispersion des valeurs d'une distribution autour de leur moyenne. C'est la racine carrée de la moyenne non pas des écarts à la moyenne (qui serait égale à 0) mais des carrés des écarts à la moyenne : σ = √(xi-mx)2.
ECHANTILLON : sous ensemble d'individu représentatif d'une population et obtenu par une méthode d'échantillonnage.
ECHANTILLON NORMATIF : non donné à l'échantillon ou aux échantillons qui permettent de construire l'étalonnage d'une épreuve. On préfère en général le terme d'échantillon de standardisation.
ECHANTILLON DE STANDARDISATION : non donné à l'échantillon qui sert à “standardiser” le test.
ECHANTILLONAGE : sélection d'un sous ensemble d'individu d'une population par une méthode permettant d'assurer que ce sous ensemble soit représentatif de la population pour la variable mesurée (cf. cours pour plus de précision sur les méthodes d'échantillonnage, chapitre. D)
ERREUR ALEATOIRE (ou ERREUR NON-SYSTEMATQIUE) : écart entre score vrai et score observé dont la cause est un ensemble de facteurs inconnus qui font que parfois la mesure sera légèrement supérieure à la valeur réelle et parfois légèrement inférieure. Cette erreur aléatoire est celle qui est associée à la notion de fidélité.
ERREUR STANDAR DE MESURE (ESM ou SEM en anglais) : Écart-type de la distribution de l'erreur de mesure. Ne doit pas être confondu avec l'erreur type (cf. chapitre F $1.1). On utilise parfois comme sigle SEm (de l'anglais Standard Error of measurement). Dans l'absolu correspond à l'écart-type des scores observés sur des mesures parallèles répétées pour une personne ayant une note "vraie" fixe et invariable.
ERREUR STANDAR DE MESURE CONDITIONNELLE (ESM-C ou C-SEM en anglais). Terme utilisé lorsque l'on calcule l'erreur de mesure standard pour chaque valeur du trait latent et non plus la même valeur quel que soit la position d'une personne sur le trait latent.
ERREUR SYSTEMATIQUE : déviation constante, négative ou positive introduit par l'instrument de mesure. Cette erreur n'est pas aléatoire et n'est donc pas évaluée par la fidélité. La fidélité d'une épreuve peut-être bonne mais l'erreur systématique de mesure importante (cf. chapitre E $6.3.1).
ERREUR TYPE : mesure standard de l'erreur d'échantillonnage (correspond à l'écart type de l'estimateur de la moyenne pour un échantillon).
ESPERANCE MATHEMATIQUE (E(X) : L'espérance mathématique d'une variable aléatoire est la valeur moyenne que l'on s'attend à trouver si l'on répète un grand nombre de fois la même expérience aléatoire. Par exemple si une variable X prend les valeurs x1, x2,, x3 ... , xn avec les probabilités p1, p2, p3,... , pn, E(X ) est la somme des xi pondéré par leur probabilité.
ESTIMATEUR : un estimateur est une statistique permettant d'évaluer un paramètre relatif à une distribution (la moyenne, la variance, etc.) à partir d'un échantillon de données.
ETALONNAGE : procédé qui consiste à établir des catégories ordonnées de références ou des classes ordonnées à partir des notes brutes de l'échantillon (cf. Chapitre G)
ETALONNAGE (tables) : tables accompagnant le manuel d'un test et permettant de convertir les scores brutes en scores standard, percentiles ou autres échelles dont les propriétés sont connues. L'étalonnage permet l'interprétation des scores observés (par comparaison à une norme ou un échantillon normatif).
ETHIQUE (usage des tests) : Ensemble de principes moraux qui engagent (responsabilités et obligations) ceux qui construisent les tests mais aussi ceux qui les utilisent.
F
FIDELITE : En psychométrie, la fidélité caractérise la qualité de la mesure et plus particulièrement la capacité à donner des valeurs exemptes d'erreur aléatoire. Assurer la fidélité d'un test c'est assurer que l'on mesure quelque chose ( cf. aussi COEFFICIENT DE FIDELITE, INDEX DE FIDELITE)
FACTEUR SPECIFIQUE : Source de variation différente de l'erreur de mesure mais spécifique à une variable observée et source d'une partie des différences interindividuelles.
FACTEUR UNIQUE : terme utilisée en analyse factorielle. Correspond à des variables latentes combinant les facteurs spécifiques et l'erreur de mesure (cf. aussi UNICITE)

FONCTION AFFINE : une fonction affine est une fonction qui à toute valeur x associe le nombre ax + b, a et b étant des nombres relatifs qui ne dépendent pas de x. Un cas particulier des fonctions affines est lorsque l'ordonnée à l'origine (b) est nulle, on obtient alors une fonction linéaire.
FONCTION LINEAIRE : cf. FONCTION AFFINE
FONCTION LOGISTIQUE : cf. LOGISTIQUE
FONCTION MONOTONE : cf. MONOTONE
G-H
GENERALISABILITE (théorie) : Alors que TCT décompose la variance de score observée en variance de score vrai et variance d'erreur aléatoire indifférenciée, la théorie de généralisabilité propose une procédure pour estimer les sources de variance d'erreur de mesure à l'aide des méthodes d'analyse de variance (ANOVA). Elle présente l'avantage de permettre simultanément la quantification de plusieurs sources de variance d'erreur de mesure et leurs interactions (sources supplémentaires de variance d'erreur). Cette théorie est cependant peu présente dans le champs de la psychométrie (en psychologie) mais plus utilisée en Sciences de l'Education (mesure académique ou autres).
HASARD (tirage au hasard) : on parle de tirage au hasard lorsque chaque élément d'un ensemble a la même probabilité d'être sélectionné (ce qui est le cas dans l'échantillonnage probabiliste par exemple). Dans tous les autres cas, le terme de tirage au hasard est incorrect.
HOMOSCEDASTICITE : on parle d'homoscédasticité lorsque la variance des erreurs d'un modèle est identique pour toutes les observations. Par exemple, si la même mesure est effectuée dans 5 sous-groupes différents, on parlera d'homoscédasticité si les variances sont égales et d'hétéroscédasticité si elles sont différentes.
HETEROSCEDASTICITE : s'oppose à homoscédasticité.
INDEX DE FIDELITE : dans la TCT, correspond à la corrélation entre le score vrai et le score observé. On ne doit pas confondre cet index avec le coefficient de fidélité. En général, quand on parle de la fidélité, on fait référence au coefficient de fidélité et non à l'index.
ISOBARYCENTRE : cf. BARYCENTRE.
I
INDICE KMO : cf. KMO
INFLEXION : cf. POINT D'INFLEXION
INTERVALLE DE CONFIANCE : de façon générale, intervalle dans lequel, si le paramètre à estimer ne se trouve pas, il y avait a priori une faible probabilité d'obtenir l'estimation obtenue. Ainsi, un intervalle de confiance à 95 % donnera un encadrement correct 95 fois sur 100 en moyenne et on se tromperait en moyenne 5 fois sur cent.
IPSATIVE (mesure) : de façon générale, se dit d'une méthode de mesure qui utilise comme référence les autres mesures le concernant (cf. aussi TEST IPSATIF)
IRT (ITEM RESPONSE THEORY) : cf. MRI
ITC (International Test Commission). Commission internationale qui fixe des directives générales (guidelines) concernant les tests (construction et usage). Actuellement, la ITC a 21 membres titulaires (associations psychologiques professionnelles nationales), 64 membres affiliés (autres commissions de test, les éditeurs et les organismes de recherche impliqués dans les tests) et plus de 700 membres individuels (personnes qui travaillent ou qui ont un intérêt dans les tests et les essais). Sa composition actuelle couvre la plupart des pays d’Europe occidentale et orientale, d' Amérique du Nord, ainsi que certains pays du Moyen et Extrême-Orient, Amérique du Sud et en Afrique. Pour plus de détails : www.intestcom.org
ITEM : plus petit élément d'un test auquel on assigne, en fonction de la réponse, un score.
J-K-L
KMO (indice KMO) : indice de (Kaiser-Meyer-Olkin qui nous renseigne sur la qualité des corrélations d'une matrice de corrélations. Cet indice prend des valeurs entre 0.0 et 1.0 et sa valeur devrait être égale ou supérieure à .60 et est considéré comme correct à partir de .70.
KURTOSE - KURTOSIS : Le coefficient d'aplatissement de Pearson ou kurtosis nous renseigne sur le degré d'aplatissement d'une distribution (voussure). Il correspond au moment centré d’ordre 4 divisé par le carré de la variance. La kurtosis d’une loi normale (de Gauss) est égale à 3. Dans la plupart des cas, on retranche 3 à la formule ce qui donne le coefficient de Fisher appelé par les anglais excès d'aplatissement ("excess kurtosis"). C'est ce kurtosis normalisé qui est reporté le plus souvent par les logiciels.
LEPTOKURTIQUE - LEPTOCURTIQUE (distribution) : si dit d'une distribution ayant une kurtose (coefficient d’aplatissement) élevée c'est à dire supérieur à celle d'une courbe normale. La distribution est plutôt "pointue" autour de la moyenne, et a des queues de distribution épaisses.
LOGISTIQUE (fonction) : Les courbes représentatives d'une fonction logistique ont la forme d'un S ce qui fait qu'elles sont parfois appelées sigmoïdes. Ces fonctions ont été mises en évidence par P-F Verhulst qui cherchait un modèle d'évolution non exponentielle ou borné d'une population. La fonction logistique à trois paramètres (k, b, a) avec a positif et est de la forme k/(1+be-ax). C'est donc une composée de fonction affine, exponentielle et inverse. Le numérateur k étant la limite de de la fonction à l'infini (plafond de la courbe en S) et est symétrique par rapport à son point d'inflexion .
LOGIT : logarithme népérien du rapport de vraisemblance (log odds-unit)
M
MATRICE D'IDENTITE : Une matrice d'identité est une matrice carrée avec des 1 sur la diagonale et des 0 partout ailleurs.
MATRICE SINGULIERE : Une matrice qui est non inversible est singulière. Lorsque l'on réalise une analyse factorielle, une matrice de variances-covariances singulière rendra impossible l'analyse (pas de solution factorielle). On observe des matrices singulières lorsqu'une variable est parfaitement corrélée avec une autre variable ou avec une combinaison de plusieurs variables. Cette condition peut être détectée en calculant le « déterminant » de la matrice.
MESOKURTIQUE - MESOCURTIQUE (distribution) : se dit d'une distribution ayant une kurtosis normalisée égale à 0. La distribution normale est mésokurtique (coefficient d'aplatissement égal à 0.
MESURE FORMATIVE. On parle de modèle de mesure formative lorsque les variables mesurées sont la cause du "construit" mesuré. Une variable est dite formative lorsqu'elle est «formée» ou directement modifiée et influencée par les indicateurs ou les items du test. Ce sont donc les indicateurs qui "créent" le construit mesuré. Plus rarement utilisée en psychologie (cf. chapitre E $2).
MESURE REFLECTVE. Correspond à la démarche habituelle en psychologie. On suppose qu'il existe une dimension sous-jacente (variable latente) théorique (non observable) et que le résultat au test est causé par cette dimension (la variable latente). La dimension théorique prédit les performances aux items du test qui doivent donc corréler entre eux.
MODELE DE MESURE. Les modèles de mesure se réfèrent aux modèles implicites ou explicites qui relient le construit et ses indicateurs. Ces modèles décrivent aussi les conditions d'application, les notions d'erreur, de score vrai, d'erreur-type, d'estimation de la fidélité, les méthodes d'analyse d'items, la dimensionnalité des construits, etc.
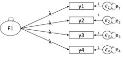
MODELE DE MESURE CONGENERIQUE : Ce terme est un anglicisme. On parle de modèle de mesure congénérique lorsque la variance vraie de chaque variable dépend d'une même variable latente et que les erreurs de mesure ne covarient pas entre elles.

MODELE DE MESURE TAU-EQUIVALENT (τ-équivalent). On parle de tau-équivalence pour un modèle de mesure lorsque celui-ci est congénérique et que de plus la variance vraie mesurée par chaque variable est constante.

MODELE DE MESURE PARRALELE : On parle de parallélisme ou modèle de mesure parallèle lorsque celui-ci est tau-équivalent et que de plus la variance d'erreur (e) est constante.

MULTIDIMENSIONNALITE : on parle de multidimensionnalité lorsque un test à une dimensionnalité supérieure à 1 (i.e. n'est pas sous-tendu par un seul trait latent).
MOMENT : Si X est une variable aléatoire, on appelle moment d'ordre k, s'il existe, le nombre E(Xk).
MOMENT CENTRE : Le moment centré d'une variable aléatoire est E[(X - E(Xk))2]. Le moment centré d'ordre 2 est donc la variance de la variable (cf. aussi KURTOSIS et ASSYMETRIE)
MONOTONE (fonction) : fonction uniquement croissante ou décroissante.
MRI (modèle de réponse à l'item) : modèles qui définit les relations entre les réponses aux items d'un test et le construit par lune fonction qui donne a probabilité de fournir une bonne réponse en fonction du niveau de la personne sur un trait latent. Ces modèles (cf. le cours) sont une alternative à la TCT et s'imposent progressivement en psychométrie.
N
NORMALE (DISTRIBUTION) : cf. DISTRIBUTION NORMALE.
NUAGE DE POINTS. Terme souvent utilisé lors du calcul de corrélations ou en analyse factorielle. Le nuage de points est la représentation de l'ensemble des observations dans un espace ayant un nombre de dimensions égal au nombre des variables. Chaque point correspond à un sujet (une observation) et les coordonnées d'un point correspondent aux scores d'un sujet sur chacune des variables mesurées (donc si on a dix variables, le sujet est représenté dans un espace à 10 dimensions).
NUAGE DE POINTS - CENTRE DE GRAVITE : Le centre de gravité d'un nuage de points est le point ayant pour coordonnées les moyennes calculées sur chacune des variables.
NUAGE DE POINTS - VARIANCE (variables quantitatives). La variance du nuage de point est la moyenne des carrés des distances au centre de gravité (inertie). La formule de la variance apprise pour une variable est donc généralisée à un espace à plusieurs variables. Remarque : la variance du nuage de points est égale à la somme des variances de chacune des variables (théorème de Huygens).
O-P
OUTLIER : Un outlier (valeur aberrante ou non conforme) est une observation qui est trop peu probable au regard des autres valeurs dans un échantillon aléatoire d'une population. Cette définition "vague" permet de bien comprendre que c'est celui qui analyse les données qui décide de ce qui sera considéré comme anormal ou trop différent (quel que soit la méthode qu'il utilise). Cela suppose aussi par ailleurs que l'on sache caractériser les observations normales.
PARRALLELISME (modèle de mesure parallèle) : cf. MODELE DE MESURE PARRALELE
PARAMETRE (statistique) : Les paramètres statistiques sont des résumés de distributions ou de séries statistiques (tendance centrale, dispersion, asymétrie, kurtose, etc.) qui résume l'information relative à l'observation. A ne pas confondre avec les estimateurs qui ont pour objectifs d'estimer les paramètres à partir d'un sous ensemble d'information.
PERCENTILE (rang) : cf. RANG PERCENTILE
PERCENTILE (score) : cf. SCORE PERCENTILE
PLATIKURTIQUE - PLATICURTIQUE (distribution) : se dit d'une distribution ayant une kurtosis normalisée négative. La distribution est aplatie (excès d'aplatissement).
POINT D'INFLEXION : en mathématique, point où s'opère un changement de concavité d'une courbe. En un tel point, la tangente traverse la courbe.
POPULATION (population mère) : ensemble de tous les individus ou unités d'observation dans lequel on extrait un échantillon.
Q-R
QUANTILE (d'ordre n) : chacune des n − 1 valeurs d'un caractère quantitatif qui partagent l'étendue ordonnée des valeurs en n sous-ensembles d'effectifs égaux (ordonnés).
RANG PERCENTILE : pour une valeur donnée p comprise entre 0 et 100, le rang percentile est le score brut pour lequel p% de l'échantillon ou de la population ont un score inférieur. Par exemple si le rang percentile 80 est la valeur 16, cela signifie que 80% des observations ont des valeurs inférieures à 16.
R (R cran) : À l'origine, logiciel destiné à l'enseignement et à l'apprentissage des statistiques, proche du langage S développé par R. Becker, J. Chambers et A. Wilks (laboratoires Bell). Actuellement c'est surtout un langage et un environnement pour le traitement de données. Il présente de nombreux avantages et est particulièrement bien adapté à l'analyse statistique. Logiciel libre, il permet de disposer d'un outil gratuit, ouvert et en perpétuelle évolution (https://cran.r-project.org/).
RAPPORT DE VRAISEMBLANCE (odds en anglais) : rapport entre la probabilité d'occurrence d'un événement sur la probabilité complémentaire de cette occurrence.
REGRESSION (analyse de) : Ensemble de méthodes statistiques pour étudier la relation entre une variable dépendante et une variable indépendante (régression simple) ou encore plusieurs variables indépendantes (régression multiple). Les variables indépendantes sont aussi appelées prédicteurs et la variable dépendante devient la variable prédite.
REGRESSION VERS LA MOYENNE : Ce phénomène a été décrit par l'anglais F. Galton. Il remarque que les enfants de parents de grande taille étaient souvent plus grands que la moyenne, mais toutefois, en moyenne, plus petits que leurs parents. Inversement, les enfants de parents de petites tailles sont plus petits que la moyenne, mais plus grands que leurs géniteurs. Cela s'explique par le fait que la taille résulte de nombreux facteurs (génétiques et environnementaux) et la probabilité qu'ils agissent consécutivement (deux mesures) dans le même sens est faible. On observe donc en général quand les scores sont élevés pour une mesure, une probabilité plus importante qu'ils soient plus faibles lors de la seconde mesure (et inversement). Un autre exemple : statistiquement, les élèves ayant les meilleurs scores à un contrôle ont en moyenne des scores un peu moins bons lors d'un second contrôle et inversement, les moins bons auront de meilleurs scores. Cet effet traduit que la note dépend de nombreuses facteurs dont certains sont aléatoires (parfois positifs, parfois négatifs).
REGRESSION POLYNOMIALE : Analyse de régression dans laquelle la relation entre la variable dépendante et la variable indépendante est modélisée comme un polynôme du nième degré en x. (y =Σaixi+ε). L’intérêt de la régression polynomiale est donc de pouvoir introduire de la non-linéarité dans la relation entre deux variables.
ROBUSTE- ROBUSTESSE : La robustesse d'un test ou d'un indicateur est sa capacité à ne pas être modifié lorsque les conditions d'application ne sont pas totalement respectées ou, pour un indicateur, d'être peu sensible à la présence d'outliers.
S
SATURATION : En analyse factorielle exploratoire en en composantes principales, la saturation correspond à la corrélation entre une variable et un facteur. La saturation varie entre -1 et +1 et le carré de la saturation traduit la proportion de variance de la variable expliquée par le facteur.
SCORE BRUT (RAW SCORE) : somme des scores (pondérés ou non) obtenu à chacun des items d'un test.
SCORE COMPOSITE : score obtenu en additionnant des scores de plusieurs tests ou sous-tests. Souvent présents dans les batterie test, ce sont des scores qui fournissent des mesures générales adaptées et synthétiques (exemple : le QI).
SCORE STANDARD : en statistique correspond à la transformation d'un score brut en un score qui exprime l'écart à la moyenne en fraction d'écart type (cf. z-score). En psychométrie, lorsque l'on parle d'échelle en scores standards on fait parfois aussi référence à des échelles obtenus par simple transformation du score z (exemples : score T, stanine, sten).
SCORE UNIVERS : Terme utilisé dans la théorie de la généralisabilité. Le score univers peut être considéré comme le score vrai dans cette théorie.
SCORE VRAI: Dans le contexte d'une variable aléatoire, le score vrai est défini comme l'espérance de la variable "score observé" pour une personne (moyenne observée si on passait le test une infinité de fois sans effet d'ordre). Une autre façon de dire c'est que c'est le score qui l'on obtiendrait s'il n'y avait pas d'erreur de mesure (qui serait donc identique si on répétait la mesure indéfiniment). C'est donc un concept (non observable).
SCORE PERCENTILE : Nombre compris entre 0 et 100 associé à un score brut et correspondant au pourcentage d'observations dans l'échantillon de standardisation ayant un score inférieur à ce score brut (ne pas confondre avec le rang percentile).
SCORE-Z (ou COTE Z) : Score standard dont la moyenne est 0 et l'écart-type de 1. S'obtient par une simple transformation linéaire (x-m)/s (xi étant les scores observés, m la moyenne de ces score et s l'écart-type). Exprime ainsi le nombre de fois en écart-type dont dont le score est éloigné de la moyenne (au dessus si positif, en dessous si négatif).
SINGULARITE : La singularité d’une matrice est un concept fondamental en algèbre linéaire. Une matrice carrée (autant de lignes que de colonnes) est dite singulière lorsque le déterminant de la matrice est égale à 0.
T
TAU-EQUIVALENCE (modèle τ-équivalent) : cf. MODELE DE MESURE TAU-EQUIVALENT
TAUX DE SONDAGE : Proportion de la population qui e t sélectionnée pour constituer un échantillon. Il est égal à la taille de l'échantillon divisé taille de la population de base (le tout multiplié par 100).
TABLE DE CONTINGENCE : Tableau à double entrée qui croise deux variables (nominales ou ordinales) dont les modalités de la première variable définissent les lignes du tableau et les modalités de la secondes les colonnes de ce même tableau. Les cases de ce tableau contiennent l'effectif des "individus" ou unité d'étude cumulant la conjonction des caractères décrits par la ligne et la colonne considérée. Ces tableaux permettent de détecter d’éventuelles dépendances entre les variables. Ce terme aurait été introduit introduit par K. Pearson en 1904.
TCT (THEORIE CLASSIQUE DES TESTS) : modèle théorique classiquement utilisé en psychométrie qui considère que tous les scores observés sont l'addition de deux composantes : le score vrai (T) et l'erreur de mesure (E) : X = T + E
TEST ADAPTATIF : Modalité de passation des tests ou chaque item est sélectionné en fonction du niveau de la personne sur le trait latent. Toutes les personnes ne passent donc pas les mêmes items et le niveau de la personne est réévalué automatiquement après chaque réponse donnée. Ce mode de test peut se développer grâce aux apports des modèles de réponses à l'item (MRI). L'efficacité de ce type d'évaluation permet de réduire significativement le nombre d'items dans les questionnaires de personnalité ou les tests de connaissances sans perte de fidélité.
TEST D'APTITUDE : En psychologie, un test d'aptitude est un test permettent d’évaluer la capacité à acquérir des connaissances ou à traiter des informations dans des domaines particuliers (aptitudes : verbale, spatiale, numérique, etc.).
TESTS DE VITESSE : par opposition aux tests de puissance, les tests de vitesse privilégient l’évaluation d'une aptitude ou de connaissances, le temps d’exécution comme indicateur direct ou indirect de la performances (les items sont le plus souvent des items simples).
TEST DE PUISSANCE : A l'inverse des tests de vitesse, les tests de puissance n’ont pas ou peu de limite de temps et privilégient pour évaluer les connaissances ou les aptitudes des items complexes. Le niveau de complexité des items réussis devient un indicateur de la performance (et non pas le temps d’exécution).
TEST IPSATIF : consiste à comparer les scores d'une personne sur un sous-test à leur propre score sur les autres sous tests. On parle parfois de tests auto-référencés (self-referenced test) par opposition aux tests normatifs (cf. aussi IPSATIVE)
THEOREME CENTRAL LIMITE : théorème de Pierre Simon Laplace qui énonce que toute somme de variables aléatoires indépendantes et identiquement distribuées tend vers une variable aléatoire gaussienne (loi normale). La portée de ce théorème est essentielle en statistiques et explique l'omniprésence de la loi normale.
TRACE D'UNE MATRICE. La trace d'une matrice carrée est la somme des éléments de sa diagonale principale c'est à dire la somme des éléments qui ont le même indice aii. Par exemple, en psychologie on réalise par défaut des ACP normées (sur des variables centrées réduites), la trace de la matrice de variances-covariances soumise à l'analyse est égale au nombre de variables et représente la quantité de variance du nuage de points (chaque coefficient étant la variance de la variable centrée réduite). Pour les AFE la diagonale de la matrice contient la part de variance de chaque variable qui doit être expliquée. La trace représente donc la quantité de variance à expliquer par le système de facteurs extraits.
TRAIT : Terme utilisé dans le domaine de la personnalité. Il définit des caractéristiques psychologiques ou plus exactement des dispositions relativement stables qui permettent de prédire les comportements. En psychologie on distingue le "trait" et "l'état". Par exemple l'anxiété trait est une caractéristique de la personne pouvant affecter plus ou moins l'ensemble des conduites alors que l'anxiété état est un niveau d'anxiété lié à un moment ou une situation et qui n'est pas permanent.
U-V-X-Y-Z
UNICITE : Terme utilisée en analyse factorielle. Il correspondant pour une variable manifeste (observée) à la variance non expliquée par le système de facteurs : u2 = 1 - h2 (h2 étant la communauté). Cf. aussi "Facteur unique".
UNIDIMENSIONNALITE : En principe on parle d’unidimensionnalité lorsque chaque item d'un test ne dépend que d'une seule dimension (la dimensionnalité est de 1).
UNIDIMENSIONNALITE ESSENTIELLE OU DOMINANTE : L'unidimensionnalité étant rarement respectée, on préfère parler d’unidimensionnalité essentielle ou dominante lorsque qu'une variable latente domine pour expliquer les réponses aux items.
UNIVERS (score) : cf. SCORE UNIVERS.
VALEUR PROPRE ( "EIGEINVALUE") : Terme associé à une composante ou un facteur en analyse factorielle et qui désigne la somme des carrés des saturations entre ce facteur (ou cette composante) et chacune des variables. La valeur propre représente ainsi la quantité de variance expliquée par le facteur ou la composante. De façon plus formelle la notion de valeur propre s'applique à des applications linéaires d'un espace vectoriel dans lui-même (endomorphisme). Un scalaire λ est une valeur propre d'une matrice carrée Unxn s'il existe un vecteur x (appelé alors vecteur propre) non nul tel que u(x) = λx. Mathématiquement : cf vecteur propre.
VALIDATION : correspond à l'ensemble des procédures mis en place pour évaluer la validité d'un test.
VALIDITE : se dit lorsque le test mesure ce que l'on souhaite mesurer. Ensemble des preuves empiriques et théoriques accumulées pour supporter l'interprétation des résultats d'un test.
VARIABLE ALEATOIRE : application qui associe à tout événement élémentaire d'un ensemble (univers des éventualités) un nombre. Un exemple simple est le résultat d'un jet de dés, pour lequel les valeurs possibles sont 1, 2, 3, 4, 5 ou 6. Cette variable aléatoire est dite discrète (elle est définie sur le sous ensemble des nombres entiers) mais les variables aléatoires peuvent être continues.
VALIDITE APPARENTE : La validité apparente (face validity) est un jugement subjectif sur les items d'un test ("sont-ils conforme pour mesurer ce que l'on veut mesurer ?"). La validité apparente est parfois considérée comme une forme très faible de validité conceptuelle.
VARIABLE MANIFESTE : Mesure observée ou score(s) observé(s) suite à une opération de mesure (exemple : temps de réaction). Cette variable manifeste (ou observée) peut être composite (somme des scores obtenus à un ensemble de questions par exemple).
VARIABLE OBSERVEE : cf. VARIABLE MANIFESTE
VARIABLE LATENTE : variable non observable (construit statistique) source d'une partie des différences interindividuelles observées sur des variables manifestes. Une variable latente est toujours évaluée indirectement par ces effets sur des variables manifestes. L'analyse factorielle exploratoire (EFA) est une des méthodes permettant d'identifier des variables latentes.
VARIANCE : Écart-type au carré (σ2), il s'agit donc d'une mesure de la dispersion des valeurs d'une distribution autour de leur moyenne. C'est la moyenne des carrés des écarts à la moyenne : σ2 = (xi-mx)2/n
VECTEUR PROPRE : En mathématiques, la notion de vecteur propre s'applique à des applications linéaires d'un espace vectoriel dans lui-même (endomorphisme). Un vecteur propre d'une matrice carrée est un vecteur non nul dont la direction ne change pas lorsqu’on lui applique la matrice, et qui est simplement multiplié par une constante appelée valeur propre. Le nombre maximal de vecteurs propres non colinéaire d'une matrice carré n xn diagonalisable est égal à n. En analyse factorielle, ces vecteurs propres sont associés à un facteur ou une composante et constituent l'ensemble des saturations entre un facteur (composante) et chacune des variables.
VOUSSURE : cf KURTOSE
Z-SCORE : cf. SCORE-Z